Caso de trabajo
Caso de trabajo
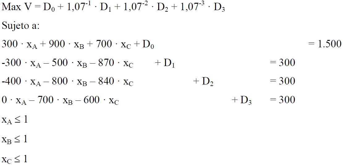
Supongamos que nuestra empresa afronta el problema de distribuir su presupuesto entre tres inversiones (A, B, C), que ocasionan los siguientes flujos de caja:
| 0 | 1 | 2 | 3 | ||
| A | It | - | 400 | 500 | - |
| Gt | 300 | 100 | 100 | - | |
| Qt | -300 | 300 | 400 | 0 | |
| B | It | - | 650 | 900 | 760 |
| Gt | 900 | 150 | 100 | 60 | |
| Qt | -900 | 500 | 800 | 700 | |
| C | It | - | 1000 | 1000 | 600 |
| Gt | 700 | 130 | 160 | - | |
| Qt | -700 | 870 | 840 | 600 | |
| Presupuesto disponible | 1500 | 300 | 300 | 300 | |
El coste de capital es el 6%.De acuerdo con las indicaciones planteadas por B&Q, podríamos formular el siguiente modelo:
La solución del modelo implica efectuar A y C al completo, y B en una proporción residual (55,56%). Es fácil comprobar que esta solución difiere poco, muy poco, de la que obtendríamos con el modelo de Weingartner. Esto no es necesariamente así en todos los casos, pero pone de manifiesto que el modelo de B&Q no soluciona definitivamente el problema de programación. Por otra parte, debido a la especificación de la función objetivo, este último modelo tiende a priorizar los pagos inmediatos de dividendos, frente a las inversiones y a los dividendos futuros. Podría ocurrir que toda la financiación se repartiese, sin haber atravesado el circuito de inversión. El modelo debería rectificarse, incluyendo restricciones que, sin perjuicio de la retribución de los acconistas, prioricen la aplicación de los recursos al programa de inversiones. También se podría considerar la posibilidad de canalizar fondos entre diferentes períodos, compensando los excedentes y déficits temporales de tesorería.
Obra publicada con Licencia Creative Commons Reconocimiento No comercial Compartir igual 4.0